Melapred Access :
une approche innovante
contre le mélanome

Présentation de Melapred Access

Le risque d’apparition d’un mélanome cutané est associé à des facteurs de risque cliniques (couleur de la peau, des yeux, phototype, nombre de grains de beauté,...) et à des facteurs génétiques (gènes de prédisposition ou de protection à la maladie).
 MELAPRED ACCESS intègre à la fois les facteurs de risque génétiques et les facteurs de risque cliniques du mélanome, ce qui permet de calculer pour le patient un score de risque de mélanome entre 0 et 100.
MELAPRED ACCESS est issu de 15 années de recherche et présente les caractéristiques suivantes :
  • Spécificité d’un algorithme qui intègre les facteurs de risque cliniques et génétiques connus.
  • Mis au point et validé sur plus de 6000 personnes (cohortes de malades et contrôles sains)
  • Brevet APHP
  • Marquage CE et audition par l’ANSM

Melapred Access permet :

  • D'optimiser le dépistage précoce du mélanome, facteur clé du pronostic de guérison
  • De mettre en place un suivi personnalisé des patients à risque
  • D'engager les patients dans une démarche de prévention active
  • D’appuyer les décisions et les recommandations cliniques du médecin ou du dermatologue

Interprétation des scores

Score de 26 à 42
( 45% de la population )
Risque modéré
  • Surveillance dermatologique adaptée par le dermatologue
  • Auto-contrôle des grains de beauté
Score de 43 à 100
( 24% de la population )
Risque élevé
  • Surveillance dermatologique tous les 6 mois, surveillance par dermoscopie et/ou Fotofinder
  • Auto-contrôle tous les 3 mois des grains de beauté
  • Photoprotection maximale (indices de protection > 50)
Score de 0 à 25
( 31% de la population )
Risque faible
  • Surveillance adaptée par le médecin traitant ou le dermatologue
  • Eventuel espacement des séances de contrôle par le dermatologue

Performances

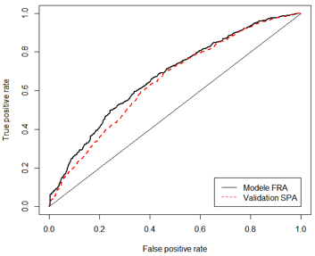
courbe roc variables génétiques
Modèle ne prenant en compte que les variables génétiques (cohorte française en noir, cohorte espagnole en rouge pointillé)
AUC français (génétique) = 0.67
AUC espagnols (génétique) = 0.65
Le score génétique se réplique très bien
courbe roc variables génétiques + cliniques
Modèle prenant en compte les variables cliniques et génétiques sur la cohorte française (modèle clinique + génétique en noir, modèle clinique en rouge pointillé)
AUC (clinique + génétique) = 0.75
Le modèle est nettement amélioré

Etude Pilote (2014)

  • 261 patients, 23 médecins investigateurs
  • 50% patients sur Paris : CHU Bichat / Saint Louis + dermatologues libéraux (Coordination Nadem Soufir)
  • 50% patients sur Reims : CHU Reims + dermatologues + médecins généralistes (Coordination Florent Grange)
  • Proposition test + consentement éclairé
Résultats de l’étude pilote
- 162 patients à haut risque (64%) dont 30 % de patients sans phénotype à risque clairement identifiable
- 51 patients avec un nombre de nævus inférieur à 50
- 59 patients avec phototype 3 ou 4
haut